Jump to content

Log-uri - Interpretarea lor: probleme turbina, debitmetru, EGR?


alinica2001
 Share

Go to solution Solved by lupo_bv,

Postare recomandată

On 29/5/2017 at 8:04 PM, mariand4j said:

Buna seara

pana nu controlezi axul turbinei nu mai fa loguri,daca consuma si ulei....daca nu ai joc in ax si faci log in mers....se face de la 1700 la 4000 de ture,pedala la podea

On 29/5/2017 at 8:33 PM, Alex265 said:

Salut

ai presiune mare in turbina,conroleaza geometria la mana...cu actuatorul scos...pare ca nu misca deloc dupa bs 011...e blocata

Link către comentariu
Distribuie pe alte siteuri

nu are joc ,cel putin asta mi-a zis mecanicul care a verificat-o ,  voi incerca sa fac alt log

Link către comentariu
Distribuie pe alte siteuri

vlahdacoroman

eu banuies un soft facut aiurea....are si  egr off!

Are overboost la greu...cu eroare si limp desigur.

Sa fie umblat si la surubul de stop??

 

LOG TR 3 blb.xlsx

LOG TR 4 blb.xlsx

 

Ceva pareri in plus?

 

Modificat de vlahdacoroman
Link către comentariu
Distribuie pe alte siteuri

ai controlat la mana geometria?nu vad ce legatura ar avea overboost ul cu softul....presiunea e mult mai mare ,,,senzorul Map atat stie sa citeasca,pana la 2601 de mbari

un bs 011 nu ai facut?

Link către comentariu
Distribuie pe alte siteuri

On Tuesday, May 30, 2017 at 8:26, ionut10a a scris:

10 mbari nu e grav la ce presiune face o turbina,incearca cu alt Map sau poate fi din reglaje

la mine la passat la relanti face presiune cat pres atmosferica,iar la seat face cu 20-3 mbari mai mult decat pres atm,seatul are soft

Eu voiam  sa va zic ca presiunea pe care o cere ecu(turbo specificat) este de 960mb,căci presiunea furnizata de turbina (turbo actual)este intre 999 și 1010mb. Sunt nelămurit de ce,,ecu" cere doar 960mb?

Link către comentariu
Distribuie pe alte siteuri

vlahdacoroman
1 hour ago, ionut10a said:

ai controlat la mana geometria?nu vad ce legatura ar avea overboost ul cu softul....presiunea e mult mai mare ,,,senzorul Map atat stie sa citeasca,pana la 2601 de mbari

un bs 011 nu ai facut?

Am facut,pe off aveam 970 si pe on 1190.

Cam mult zic eu....

Link către comentariu
Distribuie pe alte siteuri

daca reglajele sunt de fabrica si are pasta de blocaj pe filet nu ai ce sa i mai faci...

1 hour ago, evolkswagen said:

Eu voiam  sa va zic ca presiunea pe care o cere ecu(turbo specificat) este de 960mb,căci presiunea furnizata de turbina (turbo actual)este intre 999 și 1010mb. Sunt nelămurit de ce,,ecu" cere doar 960mb?

tie frica sa nu iei limp mode la relanti?:)

lasand gluma la o parte,la relanti si la turatii joase ecu cere totdeauna mai mult decat turbina poate furniza...nu prea ma pricep,s a umblat cumva la soft?

Link către comentariu
Distribuie pe alte siteuri

Pai la mine este invers,ecu cere mai puțin, sub presiunea atmosferica,și turbina ofera mai mult.Nu este umblat la soft.Adică așa cred.Și dacă era umblat, cred ca trebuia sa fie invers,adică ecu sa ceara mai mult, nu mai puțin, corect?

Link către comentariu
Distribuie pe alte siteuri

ALH, 371.440Km, turbina originala fara interventie.

MAF-ul este foarte OK, peste 850mg/str la 3.000rot/min si se mentine bine in continuare.

Ce parere aveti?

 

3-10-11.png

TURBO.png

EGR.png

Modificat de Dolfin
Link către comentariu
Distribuie pe alte siteuri

Laurentiu_LWR
11 hours ago, Dolfin said:

 

Ce parere aveti?

 

3-10-11.png

 

Sunt tare curios cum merge masina...

Nu ma pricep prea mult dar uite cum arata graficul la mine...cum urmareste actualul specificul...sa iti faci o idee cam cat de grav este la tine...

5932880f23009_corectieturbo.thumb.jpg.226ecbdbdf2690705920a031c1c4161b.jpg

Link către comentariu
Distribuie pe alte siteuri

@Dolfin incearca o curatare de geometrie daca nu s a curatat de mult timp....si totusi incarca bine turbina,inainte de 1900 de ture

Link către comentariu
Distribuie pe alte siteuri

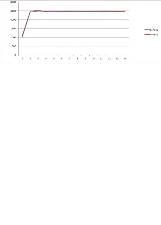
în urmă cu 11 ore, Laurentiu_LWR a scris:

Nu ma pricep prea mult dar uite cum arata graficul la mine...cum urmareste actualul specificul...sa iti faci o idee cam cat de grav este la tine...

Graficul tau este ireal. De la ce turatie ai pornit log-ul?

acum o oră, ionut10a a scris:

@Dolfin incearca o curatare de geometrie daca nu s a curatat de mult timp....si totusi incarca bine turbina,inainte de 1900 de ture

Turbina incarca foarte bine, raspunde cu intarzaiere comenzii de la ECU dar dupa aceea face o gramada de overboost.

Maxim-ul de overboost, 2458mbar, este la Duty Cycle 87,3%, iar la urmatoarea valoare, 93,2%, deja presiunea incepe sa scada, 2427mbar, dupa aceea ECU comanda corectie agresiva si se duce in underboost.

Motorul mai intra in limp si se simte destul de pregnant underboost-ul.

Avand in vedere toate cele 3 grafice cred ca este o combinatie de factori; un vacuum pe care pompa de vacuum nu-l poate mentine constant (BS3), la care este posibil sa se adauge si-un actuator obosit (intarzaiere in actiune), si desigur geometrie murdara (BS11).

 

Alte pareri?

Link către comentariu
Distribuie pe alte siteuri

Salutare! Am o problema la Bora mea, recent achizitionata, motor 1.9 AXR 101 cai. Mi-a intrat in limp mode de 4 ori in 2 saptamani, dintre care de 3 ori in seara asta. Prima data cand a intrat am urcat cu a 3-a pana la 4000, tragea normal, dupa ce i-am dat a 4-a a intrat in limp. Astazi, a intrat in limp in a 4-a la 130(nu stiu exact turatia) si de inca 2 ori la aproximativ 3800 in a 3-a cand am incercat sa fac log, pe care il si atasez mai jos si pe care va rog daca il puteti interpreta, eu nu ma pricep... Tin sa mentionez ca nu scoate fum alb/albastru, decat negru putin cand urc in turatie mare, consumul este normal(7.0 pe ultimii 1800 km, 80% circulat urban). Am scos si mufa de la debitmetru si trage mai prost decat cu ea, dar nu mai intra in limp. Pe VCDS imi apare urmatoarea eroare:

Address 01: Engine        Labels: 038-906-019-AXR.lbl
   Part No: 038 906 019 AT
   Component: 1,9l R4 EDC G000SG  1513  
   Coding: 00002
   Shop #: WSC 01266  
   VCID: 69C0ACCFD979127AA87E539-4B00
   WVWZZZ1JZ3W079367     VWZ7Z0B5419643

1 Fault Found:
17965 - Charge Pressure Control 
            P1557 - 35-10 - Positive Deviation - Intermittent
Readiness: 0 0 X X X 
 

Am atasat si log-ul, sper ca l-am facut bine. Va multumesc anticipat!

 

LOG-01-011-003-010.CSV

Modificat de CostiMMC
Link către comentariu
Distribuie pe alte siteuri

@CostiMMC geometria turbinei este murdara,de aici si limp modul si eroarea..curata geometria turbinei

Link către comentariu
Distribuie pe alte siteuri

Laurentiu_LWR
8 hours ago, Dolfin said:

Graficul tau este ireal.

Ok...acesta pare mai real? :P Are un pic de lag...dar dupa aceea tot specific pe actual este...

LOG-01-003-010-011-TCM+AVD.xls

Link către comentariu
Distribuie pe alte siteuri

3 hours ago, ionut10a said:

@CostiMMC geometria turbinei este murdara,de aici si limp modul si eroarea..curata geometria turbinei

Am înțeles, mulțumesc!

Link către comentariu
Distribuie pe alte siteuri

în urmă cu 2 ore, Laurentiu_LWR a scris:

Ok...acesta pare mai real? :P Are un pic de lag...dar dupa aceea tot specific pe actual este...

LOG-01-003-010-011-TCM+AVD.xls

Graficul acesta este mai realist, dar iti sugerez sa faci unul cu plecare de la 1.500rotmin, pentru ca asa iti furi singur caciula (putin).

Practic ai doar 8 valori din care ai realizat graficul, eu l-am realizat din 22 de valori in plaja 1500-4100.

Daca porneam log-ul cu WOT din 1600 nici overboost-ul nu mai era asa mare la motorul de la mine.

 

In schimb ai dreptate, la tine pana la final corecteaza si se mentine bine.

Link către comentariu
Distribuie pe alte siteuri

Laurentiu_LWR

L-as face cu mare placere din mai multe puncte...dar din pacate/fericire urca prea repede in ture si atat se inregistreaza...

Daca s-ar putea regla de undeva time stamp sa inregistreze mai des...as avea si eu mai multe valori...

Link către comentariu
Distribuie pe alte siteuri

@Dolfin nu are importanta din cate valori este constituit un log,(aici depinde de interfata si de ecu,edc 15 sau 16....posteaza un log la un edc15 in care sa stocheze mai mult de 10 -15 valori),atata timp cat este facut in plaja de 1600-4000 de ture

 

 

Link către comentariu
Distribuie pe alte siteuri

@Laurentiu_LWR Inteleg ce spui, urca asa de repede incat nu este timp de esantionare.

Make sense, la tine au fost nevoie de 8s de la 1600-3900, la ALH logat de mine s-au scurs 15s pentru intervalul 1512-3990.

La EDC15 citirea valorilor face la 1-1,2s.

Ce-ai schimbat la turbina de ai ajuns la rezultatele acestea?

 

Modificat de Dolfin
Link către comentariu
Distribuie pe alte siteuri

Buna ziua ! Atasesz si eu 2 log-uri. Primul este in treapta a3a iar al doilea in a4a. Masina este un Golf 5 2.0 TDI BMM 140cp. Temperatura de afara la care s-au facut log-urile a fost de 25grade. 3 persoane in masina. apa la 90 grade, clima oprita. Vreau sa stiu daca functioneza in parametrii si daca este vreo problema deoarece am impresia ca masina nu trage cum trebuie. Va multumesc !

LOG-01-003-010-test 1.CSV

LOG-01-003-010-test 2.CSV

Link către comentariu
Distribuie pe alte siteuri

vlahdacoroman

trage bine insa abia dupa 2000 de ture,nu vad probleme la tine.

Un soft care sa fie facut cum trebuie cred ca te-ar ajuta sa traga de la 1800 rpm.

Link către comentariu
Distribuie pe alte siteuri

Am inteles. Multumesc !

Nu ma deranjeaza ca trage peste 2000 ca si asa nu o las niciodata sub 2000. Vede foarte des 4000rpm, defapt cam mereu cand merg cu ea si uneori peste 4000....

Link către comentariu
Distribuie pe alte siteuri

3 hours ago, cryst7ano said:

trage prost la turatii joase,la 1900 de ture turbina face 1,7 bari de presiune....la fel am si eu la passat ul meu si o simt lenesa,nu am reprize bune la schimbarea vitezelor

ideal ar fi sa ai la 1900-2000 de ture in jur la 2 bari (la seat asa am),incearca cu o saiba cu gaura mai mica pe egr,si asigura te sa inchide bine fizic

Link către comentariu
Distribuie pe alte siteuri

Ce parere aveti de urmatorul log LOG-01-003-010-011.xls

Am pus alt ecu, are ceva modificări de soft?Mulțumesc! 

Modificat de evolkswagen
Link către comentariu
Distribuie pe alte siteuri

  • Marian featured this topic

Pentru a adăuga comentarii este necesară înregistrarea sau autentificarea

Trebuie să aveţi un cont de membru pentru a adăuga comentarii

Înregistrare membru

Înscrierea unui nou cont de membru. Este foarte uşor!

Înregistrare cont nou

Autentificare

Aveţi deja un cont de membru? Conectaţi-vă aici.

Autentificare în cont
 Share

  • Activi pe această pagină   0 membri

    • Niciun utilizator înregistrat nu vizualizează această pagină acum.
×
×
  • Create New...

 Functionarea acestui site este sustinuta de cele cateva bannere afisate intre posturi. Ar fi o placere pentru noi daca ar fi adaugat site-ul nostru in lista de exceptii ad-block in browserul tau. Promitem si veti vedea ca nu avem reclame intruzive si nici deranjante (nimic cu sunet,video sau all-screen). Multumim!